新闻动态

NEWS
当前位置: 首页 > 新闻动态

腐蚀顶刊:两步时效7xxx系铝合金氢脆机制新见解!

作者:小编    发布时间:2026-02-03 04:39:47

  氢脆是铝合金等材料面临的核心安全问题,常引发结构突然失效。尤其在7xxx系铝合金中,该问题尤为突出。由于氢原子易向高应力区富集,材料氢脆敏感性随强度提升而急剧升高。工业界采用。自上世纪50年代以来,商用7xxx系铝合金的升级多以改善韧性为主,过时效态实用合金的强度几乎停滞[1]。

  传统两步过时效热处理通常包括:第一步低温(约120℃)处理,使过饱和固溶体分解为GP区与η′相(η相前驱体);第二步高温(150–200℃)处理,普遍认为是促进η′相向η相转变及晶界析出相粗化,进而降低氢脆敏感性。因此,长期以来研究多集中于η-MgZn₂析出相,而Al-Zn-Mg相图中的另外一种相——T-Mg₃₂(Al,Zn)₄₉相——很少受到关注。T相常以近球形析出,对强度的贡献弱于盘状η相,故在7xxx系铝合金研发中未受重视。此外,早期观点认为在接近商用成分时,T相仅存在于高温区(如>200℃)。加上T相与η相的化学成分、形貌相近,尺寸较小时二者也难以区分,导致T相在商用合金氢脆中的作用被长期忽略。

  近年来,理论陷阱导向的氢脆调控策略得到快速发展[2-4]。理论预测显示,η′/η相的惯态面(亦为铝基体滑移面)易发生氢致开裂,而T相则具有较高氢结合能,可能成为抑制氢脆的有效纳米析出相[5];某些高锌合金在充氢后呈现完全穿晶断裂,表明随析出相密度增加,晶内成为氢脆敏感区域,这与η′/η相致脆机理相符,也为分离晶内与晶界析出相对氢脆的影响提供了理想研究体系[6]。

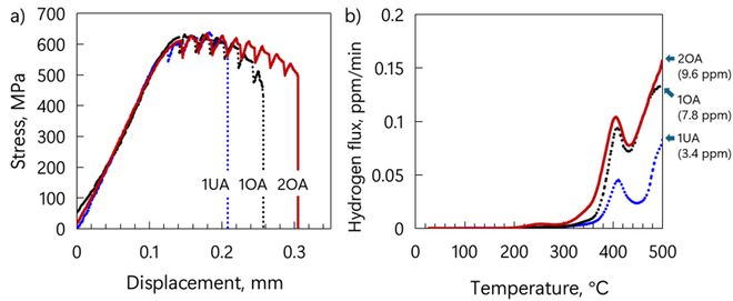
  基于上述进展,研究团队通过设计热处理与力学对照实验,精确揭示了晶内T相对改善氢脆的关键作用。设计了单步低温峰值时效、单步低温过时效以及两种温度下的两步过时效(图1),在强度差异不超过5%的条件下,系统比较了各工艺的抗氢脆性能(图2)。结果表明,两步过时效合金能显著抑制氢致开裂,而传统观点仅从时效效率与析出相粗化角度无法完全解释1OA与2OA在抗氢脆性能上的差异。

  图1. (a)单步时效和(b)两步时效工艺的时效硬化响应。1UA:单步欠时效;1OA:单步过时效;2OA:两步过时效。注:所有强度低于T6处理的两步时效材料均定义为过时效。

  利用球差扫描透射电子显微镜的高角环形暗场像(STEM-HAADF),解析了η相的原子结构及其界面共格性,并结合富含更多衍射信息的传统高分辨透射电镜(HRTEM)模式对T相进行细致观察。分析表明,在两步过时效合金中出现了纳米级T相的清晰电子衍射花样。定量统计证实,与1OA处理相比,2OA处理后T相比例显著提高(图3)。这归因于第二步高温时效中,亚稳态η′相部分溶解并重新析出为T相。氢分布计算进一步指出,虽然T相总体比例低于η相,但其对氢的捕获作用不可忽视,很可能是当前商用热处理合金中主要的氢陷阱。

  图3. (a)1OA和(b)2OA合金中T相的HRTEM图像。(c)、(d)不同氢陷阱的氢含量。

  由于两步时效处理是几十年来7xxx系合金的传统热处理技术,该研究揭示的新机制具有广泛的工程应用价值,为通过调控析出相类型与分布进一步优化铝合金抗氢脆性能提供了理论依据与新方向。

  作者介绍:王亚飞,中国科学院力学研究所副研究员,任职于超常环境非线性力学全国重点实验室。曾任九州大学特任准教授,参与两项研究获2024、2026年度日本金属学会最佳论文奖,成果入选国际铝合金大会、国际氢大会口头报告。欢迎学术交流、科研合作或招生咨询!

  透射电子显微镜(TEM)是利用电子束穿透样品以形成高分辨率图像的显微分析仪器。当放大倍数足够高时,获得的图像即为高分辨透射电镜(HRTEM)像。扫描透射电子显微镜(STEM)通过电子束在样品表面逐点扫描成像,从而获取更高空间分辨率的图像。球差校正STEM则通过内置电磁校正器抵消球面像差,可进一步提升分辨率至皮米级。高角环形暗场(HAADF)成像采用环形探测器,仅收集大角度散射电子,其信号强度近似正比于原子序数的平方,因此仅凭原子柱明暗即可区分元素类型。

  HAADF-STEM已成为分析纳米析出相原子结构的先进手段。然而,在本研究中,由于HRTEM图像的傅里叶变换是区分T相与η相的主要依据,采用传统HRTEM技术反而能更精准地辨识二者的结构差异。

Copyright © 2012-2018 某某网站 版权所有 非商用版本琼ICP备xxxxxxxx号
电 话:400-123-4567 手 机:13800000000
地 址:广东省广州市天河区88号
扫一扫关注微信